资讯首页
居住证办理
居住证积分
上海落户
子女入学
搜索
当前所在位置:
首页
>
资讯中心
>
子女入学
>
上海高考
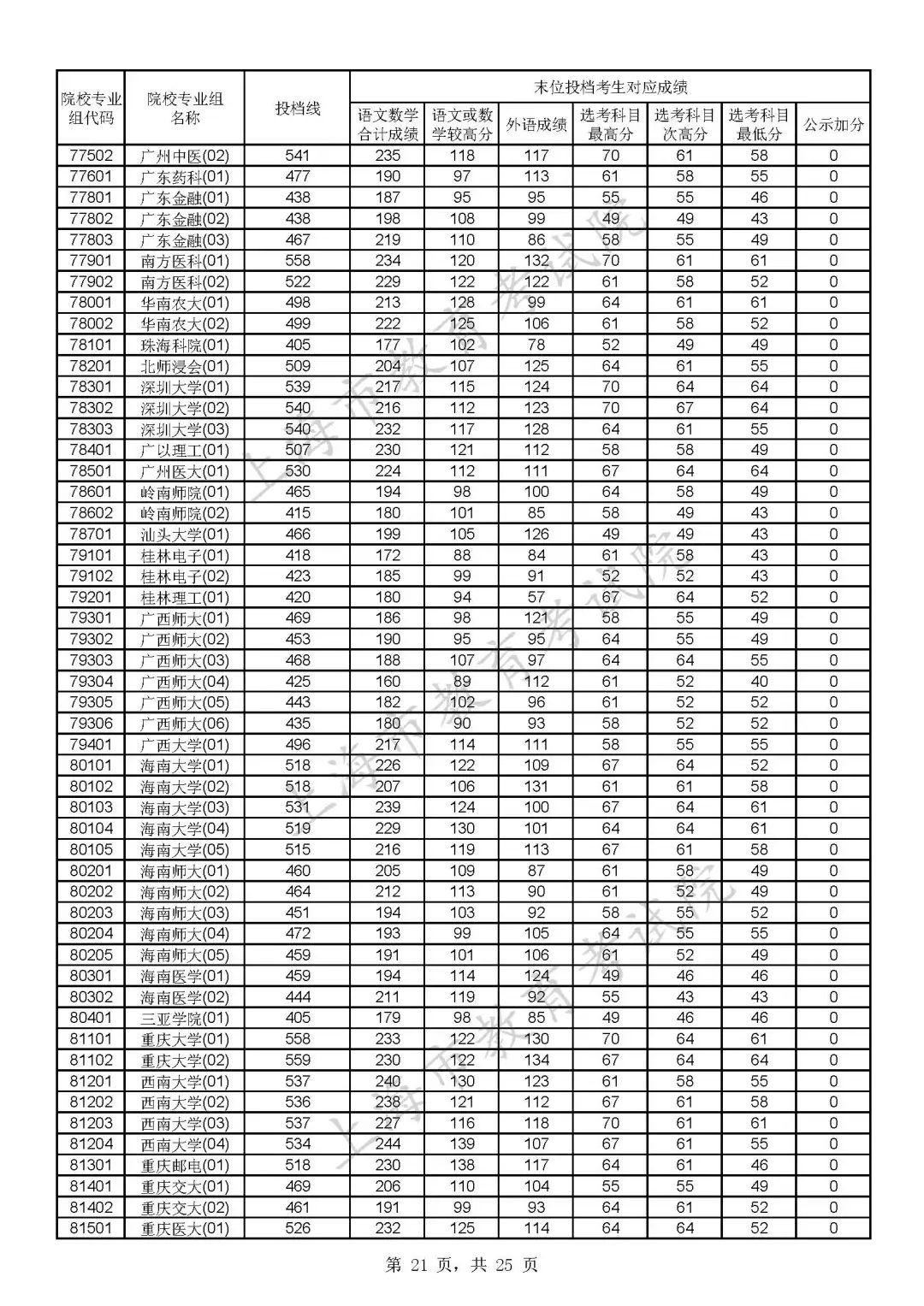
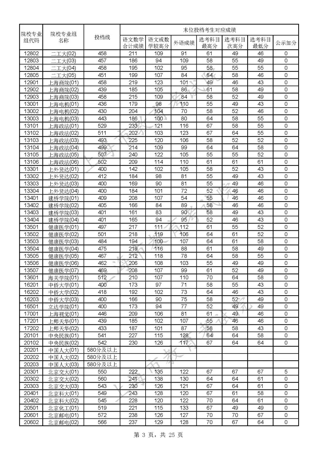
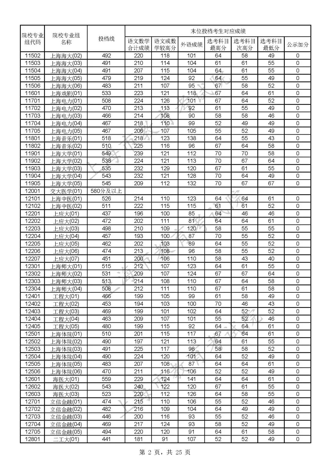
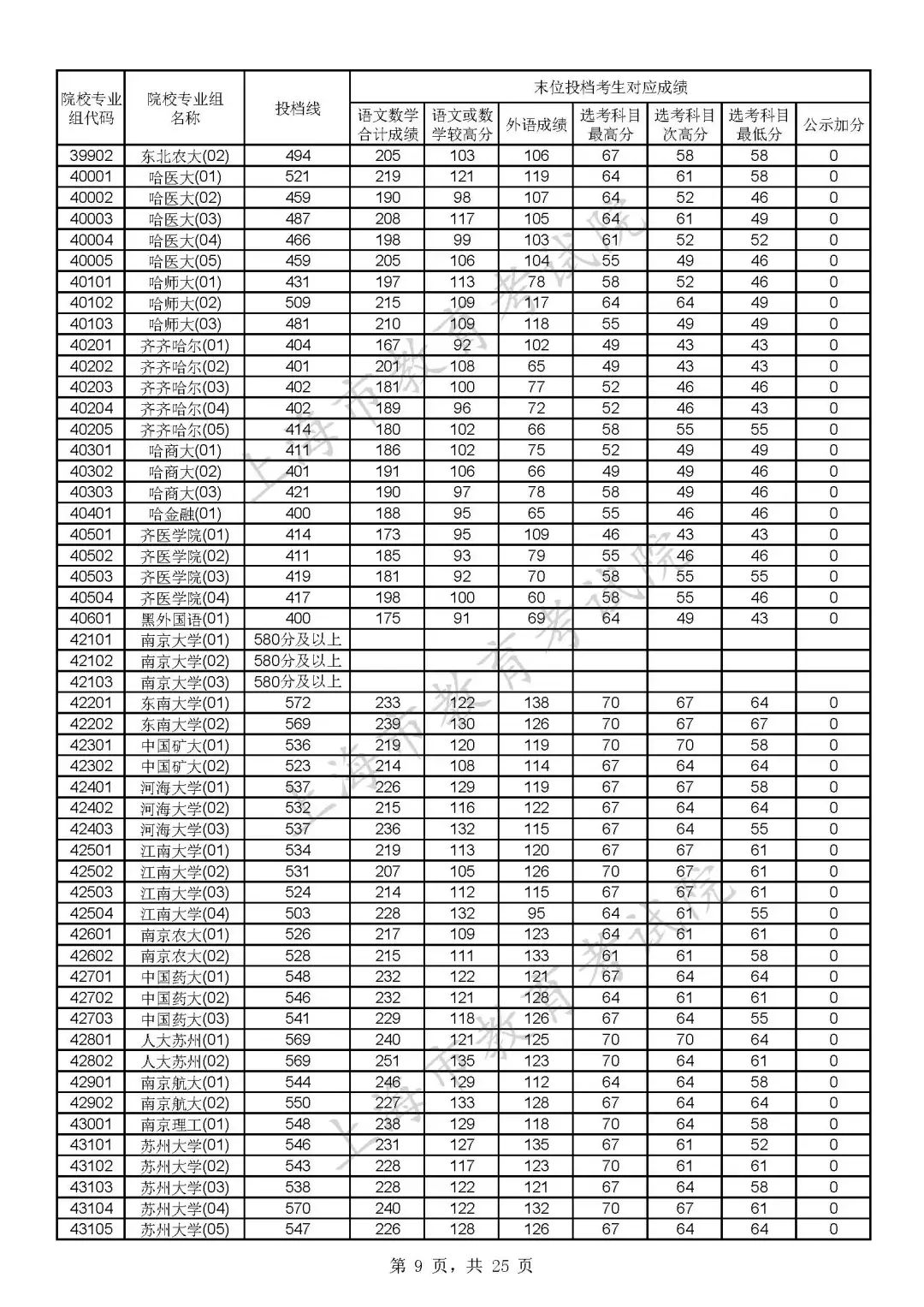
沪2022年普通高校招生本科普通批次平行志愿院校专业组投档分数线公布
发布日期:2022-09-08 13:40:29
浏览:
来源:办积分网
高三的同学和家长们注意了!市教育考试院发布了本科普通批次平行志愿院校专业组投档分数线。详见↓
版权声明:
本文内容与最新政策有差异的,以最新政策为准。
本文除政策原文外,未经许可,不得转载,所有视频均有版权。
来源:办积分网&相关官方部门
本文地址:http://www.banjifen.com
Tag:
沪2022年普通高校招生
普通高校招生本科普通批次平行志愿院校专业组
投档分数线公布
上一篇:细数沪上严苛的非沪籍报考条件!其实外地娃还是有机会在上海参加高考
下一篇:关于本科普通批次投档线的问答
相关推荐
2021年上海市普通高校考试招生报名实施办法
上海2023年普通高等学校招生专业目录与志愿表
2023年上海本科招生艺术、体育乙批次平行段院校
上海2023年普通高等学校招生政策原文
2019年上海市普通高校考试招生报名实施办法
怎么样可以在上海顺利参加中高考?上海升学路线图G
上榜了!全上海父母都想把孩子送进这十二所高中!
2016年金山区高考录取分数线
2016年嘉定区高考录取分数线
2023上海高考各区招生结构联系电话及地址
2016年徐汇区高考录取分数线
2016年杨浦区高考录取分数线
上海高考一年两次?上海春季高考了解一下
2020年高考考试时间为7月7日至8日
2021年上海高招工作启动
2016年奉贤区高考录取分数线
2016年青浦区高考录取分数线
上海教育考试院就上海高考录取问题“八问八答”
2016年崇明县高考录取分数线
辟谣!上海120积分就能参加上海高考,但分数线不
上海高考
幼儿园入园
幼升小
小升初
上海中考
上海高考
上海高考热门文章
1
2022年上海社保缴费标准!(
2
上海2023年普通高等学校招生
3
2022虹口区初中对口地段表
4
上海市12345政务服务一网通
4
上海落户申请通过后,怎么办理迁
4
2022年徐汇区初中对口地段表
4
2022年上海各区小升初对口盘
在线咨询
积分模拟
落户自测
联系我们
返回顶部